EPÆG is a world-wide network of enthusiastic scientists who aim to advance the empirical knowledge in the fields of ergonomics, psychological aesthetics and design. EPÆG is hosted at the Department of General Psychology and Methodology (head: Professor Claus-Christian Carbon, PhD; deputy head: Professor Marius Raab, PhD) at the University of Bamberg, Germany.

Read more»

Visual Ambiguity & Affective Reprocessing

How can the “openness” of an image transform our emotional landscape? This research investigates how perceptual ambiguity in abstract and blurred photography shapes affective experience and emotional regulation. Building on EPÆG’s foundational work on perceptual ambiguity and aesthetic engagement, we examine how non-literal, self-generated imagery may invite more active meaning-making and reflective engagement compared to representational content. Using a multi-method approach, the project explores how the emotional resonance of self-generated images evolves from the moment of capture to later viewing — a temporal affect shift referred to here as affective reprocessing. We investigate how this process may be associated with changes in perceived clarity, inner self-connection, and tolerance for ambiguity. Rather than seeking fixed outcomes, this research aims to explore the cognitive and perceptual conditions under which abstract imagery supports emotional reflection — contributing to the empirical understanding of abstraction as a potential stimulus for well-being. Informed by both experimental psychology and artistic practice, this work offers insights into image-based well-being approaches across cultural and educational settings. Initial data are drawn from Chinese cultural contexts, with cross-cultural extension planned.


Virtual Reality as a Research Instrument

With VR technology advancing rapidly, the possibility of simulating a reality of interest in an ecologically valid way as a basis for experimental research is becoming increasingly tangible. At the same time, research suggests that perception in VR can be comparable to perception in “authentic” reality. This raises important questions: Have we reached the point where a VR simulation can validly provide perceptual stimuli equivalent to real-world conditions? Could VR serve as a legitimate “space” for conducting experimental research? And most practically, which headset should researchers choose for their specific field of interest?

Read more»

Color Preference

This project explores the mechanisms underlying color preference from the perspective of processing fluency. It combines behavioral measures of color preference, color naming, and color expertise to examine whether aesthetic judgments of single colors are shaped mainly by perceptual attributes or by higher-level cognitive factors. The findings suggest that color preference follows the Fluency Amplification Model, such that both highly liked and highly disliked colors are processed more fluently than neutral ones. At the same time, preference itself appears to be primarily linked to low-level perceptual properties, whereas expertise and naming ability influence related processes without directly changing preference. Contact persons:

  • Songyang Stacy Liao, PhD
  • CCC, Head.

Circular Design

The urgent need to transition away from a linear “take-make-waste” economy necessitates a deeper understanding of consumer perception towards circular product alternatives. Therefore, in our research we take a holistic, multisensory approach, emphasizing both functional innovation and aesthetically engaging design. Specifically, our work centers on consumer perception of circularity-optimized textiles, using denim jeans as a case study to understand broader consumer responses across various product categories. Ultimately, we seek to uncover how sustainable design can create meaningful consumer experiences. Contact persons:

  • Lotta Straube, PhD student
  • CCC, Head.

Touch Affordance Scale (TAS)

Why are some people irresistibly drawn to touch objects and materials around them while others may shy away? The allure of human touch extends beyond mere sensory properties; it is deeply influenced by individual differences. Our research group has developed the Touch Affordance Scale (TAS) to delve into this intricate dynamic, exploring how interpersonal factors affect our interactions with the tactile world. The TAS is designed to measure the intensity and nature of individuals’ urges to engage with the physical world - ranging from the roughness of denim, the curved lines of a vase, to the smoothness of silk. By quantifying this urge, the TAS sheds light on how personal preferences and sensory sensitivities combine to shape our tactile experiences. This tool not only broadens our understanding of haptic aesthetics but also highlights the profound impact of touch on our daily lives, guiding everything from product design to therapeutic practices Our work aims to unlock the complexities of tactile perception and its variability among individuals, enhancing our ability to create environments and objects that resonate on a deeply personal level with users. By embracing the diversity of tactile attraction, the TAS promises to revolutionize our approach to designing more inclusive and emotionally engaging tactile environments. Contact persons for ‘3D spatial audio’:

  • Marella Campagna, PhD student
  • CCC, Head.

Reality-virtuality continuum: Enhancing perceptual adaptation of users in virtual environments

Virtual environments have the qualities of affecting the perceptual dynamics of users by offering highly immersive and interactive experiences. Especially the transition between multiple realities, such as from augmented reality to virtual reality, can leave users with dramatic perceptual changes. The concept of the Reality-Virtuality Continuum was introduced by Milgram & Kishino in 1995, which attempted to define the different levels of immersion and interaction of users in virtual and augmented reality technologies.

Read more»

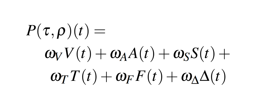
The equation of perception: Assessing user perception in virtual environments

The perception of a particular virtual environment can be described as a complex situation, as much as in real-life situations, since it depends on numerous sensing, assembling, and interpreting processes concerning a particular surrounding. Fundamental factors that may create a perceptual significance in various aspects of the real scene are defined as the experience, knowledge, skills of a particular user, as well as the particular activity, in which the user is involved.

Read more»

Psychology of Design

Talking about design, most discussions circulate around physical objects or products, around their invention, development, production and marketing. While most modern design approaches do also cover questions pertaining to human interaction, e.g. within user- or human-centred design philosophies, a systematic and fundamental conception of the role and implications that human perception and emo-cognitive processing take with regard to designing physical goods is lacking. Under the umbrella term`Psychology of Design’, I will develop and elaborate on psychological dimensions that are highly relevant to the optimization and evaluation of design. I propagate a general psychological turn in design theory and practice in order to purposefully include not only the top-down processes triggered by context, framing, expectation, knowledge or habituation but also the psychological effects of Gestalt and Zeitgeist. Such psychological effects have the potential to determine whether the very same physical design will be aesthetically appreciated, desired, loved or rejected in the end. Psychology of design has a tremendous influence on the success and sustainability of design by triggering associations and displaying demand characteristics in a multimodal way. The paper is based on fundamental psychological theories and empirical evidences which are linked to applied examples from the world of art and design.

Carbon, C. C. (2019). Psychology of Design. Design Science, 5(e26), 1-18. doi: 10.1017/dsj.2019.25


3D Spatial Audio: Dolby Atmos and mental health

Most people experience an ‘inner voice’, which can take the form of a monologue or a dialogue. For many people, this ‘inner voice’ can become overly critical. This can have an impact on their day-to-day functioning as well as making them vulnerable to depression. In this study, we investigated the subjective aesthetic and affective responses to a shift from 2D stereo-based modelling to 3D object-based Dolby Atmos in an audio installation artwork. The effectiveness of three-dimensional (3D) object-based audio was interrogated against more traditional stereo and two-dimensional (2D) formats regarding the expression and communication of emotion and what effect altered spatiality with an infinite number of placements has on the psychoacoustic and neuroaesthetic response to the text. Our research indicates that immersion in 3D Dolby Atmos spatial audio may help reduce or alleviate this syndrome, providing a potential pathway to a drug-free mental health intervention through the social prescribing of spatial audio sessions. The research was carried out in the Dolby Atmos specified Red Room at Real World Studios in Box, Wiltshire, where Dr Sadia Sadia’s independent project studio is based, in collaboration with Prof. Dr Carbon of the University of Bamberg. A larger study involving a significantly diverse sample is planned for 2024.

Contact persons for ‘3D spatial audio’:
PhD Sadia Sadia sadia.sadia@rmit.edu.au
Prof. Dr. Claus-Christian Carbon (Head of Department)


KIMU: AI for SME Experience Center (Cleantech Innovation Park)

Experience, understand and make applicable digital, intelligent and sustainable production.
The main goal of the project is to drive digital transformation in small and medium-sized enterprises (SMEs) in the region. The focus is on presenting the companies with innovative AI-supported manufacturing processes, testing them for their specific requirements and training the employees accordingly at the Cleantech Innovation Park. In order to achieve this goal, a prototype production is to be set up. Here, selected components should be made tangible, while more complex processes can be illustrated by digital twins.

Various topics are dealt with and implemented as part of this project:

  • The implementation of machine learning concepts developed at the University of Bamberg, focusing on human-centric, transparent and correctable approaches.
  • Targeted support for companies in the region in their digital transformation through:
  • Introduction of innovative AI-supported manufacturing processes
  • Conducting tests on specific applications.
  • Training for company employees
  • Creation of a prototypical production that enables the use of digital twins and various sensors for process monitoring, predictive quality control and energy and resource savings

For more information: www.uni-bamberg.de/kogsys/forschung/projects/kmu-ki-ez


FreaksToTable is an initiative for developing the food sector in all possible tiers.

You will find more information here: www.freakstotable.com.

FreaksToTable is an initiative to develop and transform regional food chains to produce, process and consume more sustainable, resilient, regional and healthy food. It is about the development, enjoyable and new consumption. Sustainability is seen here in ecological, economic and social terms. EPAEG plays a crucial role here in changing the perception of food, in raising consumer awareness of quality and sustainability and in encouraging more conscious consumption and greater enjoyment.

Read more»

StraViMi: Strategic Virtualization – Distance as an Opportunity

In February 2020, the still ongoing Covid 19 pandemic hit us and brought with it many restrictions. The need for social and spatial distancing highlighted the importance of virtual forms of communication. Meanwhile, direct communication is considered superior to virtual communication whose potential for optimization seems to lie primarily in the technical realm. We launched the project “StraViMi: Strategic Virtualization – Distance as an Opportunity” because we are convinced that virtual communication can be so much more than just a temporary solution caused by constraints. Approved by the European Social Fund, an interdisciplinary team of young scientists develops ideas for strategic virtualization together with small and medium-sized enterprises (SMEs).

Read more»

Creativity

To create art means to be creative, but how creativity is gained, how we can induce and train creativity and how we can validly measure creative potential is a matter of still unsolved research. We show some steps forward into a promising direction.

  • Heiligensetzer, S., Schmittlutz, T., & Carbon, C. C. (2021). Creativity and complexity: Creative solutions are more complex and need time. Art & Perception, 9(1), 21-45.

Aesthetics of (dis)order: How can we seek order but be interested in its violation?

We are driven not only by our need for security but also by curiosity and exploration, the potential for new experience and insight (see also “Aesthetic Aha” effect, Muth & Carbon, 2013). This is why we seek order and at the same can be stimulated and motivated by deviations from order or highly complex order (see also studies on “Unity-in-Variety”, Berghman & Hekkert, 2017). In our studies, volunteers created digital mosaic-like patterns with the software Flextiles (Westphal-Fitch et al., 2012). These images aroused most interest in another group of participants if they combined order with complexity or showed deviations from obvious order (see Figure 1 for exaples; Muth, Westphal-Fitch, & Carbon, in press). We suggest that we do not enjoy simple order as much as the process of ordering and therefore we are fascinated by images that allow for active engagement — even in perceptually challenging contexts.

  • Muth C., Carbon, C. C. (2013). The Aesthetic Aha: On the pleasure of having insights into Gestalt. Acta Psychologica, 144(1), 25-30. doi: 10.1016/j.actpsy.2013.05.001
  • Muth, C., Westphal-Fitch, G., & Carbon, C. C. (2021). Seeking (dis)order. Ordering appeals but slight disorder and complex order trigger interest. Psychology of Aesthetics, Creativity, and the Arts, 15(3), 439–457. doi: 10.1037/aca0000284
  • Muth, C., & Carbon, C. C. (in press). Ambivalence of artistic photographs stimulates interest and the motivation to engage. Psychology of Aesthetics, Creativity, and the Arts.
Read more»

Automotive Haptics

Automotive interior design has undergone drastic changes in recent years due to market requirements, advancements in user interface technologies and user expectations. Physical button interfaces are increasingly replaced by large and flat user interfaces. Yet, they lack the high-quality tactile impression from analog interfaces that enables an easy, safe, and eye-free interaction. Active Haptics plays a crucial role in bridging the gap of traditional physical to digital user interfaces.

We developed the Theoretical Framework of Haptic Processing in Automotive User Interfaces to streamline haptics terminology and research findings in the field of automotive haptic feedback, systematically describe the interaction process from a user perspective, but also to provide a joint haptic design framework for designers, engineers, and psychologists. We suppose haptic perception in an automotive interaction context consists of four subsequent stages – Exploration, Detection, Identification and Usage – each posing distinct user requirements towards haptic feedback.

  • Breitschaft, S. J., Clarke, S., & Carbon, C.-C. (2019). A Theoretical Framework of Haptic Processing in Automotive User Interfaces and Its Implications on Design and Engineering. Frontiers in Psychology, 10(1470). doi:10.3389/fpsyg.2019.01470
  • Breitschaft, S., & Carbon, C. C. (2021). Function Follows Form: Using the Aesthetic Association Principle to enhance haptic interface design. Frontiers in Psychology—Human Media Interaction, 12(2619), 1-23. doi: 10.3389/fpsyg.2021.646986
  • Breitschaft, S., Pastukhov, & Carbon, C. C. (2021). Where’s My Button? Evaluating the User Experience of Surface Haptics in Featureless Automotive User Interfaces. Transactions on Haptics. doi:10.1109/TOH.2021.3131058

Automotive Acoustics and Psychoacoustics

Acoustic characteristics play an important role for automotive vehicles as they not only provide operational feedback and information about the status of the car to the driver, but also contribute to the overall product percept. The vehicles’ acoustics, subsumed under the umbrella term NVH (noise, vibration, and harshness), might even define the vehicle comfort, or lead to complex associations about the product. Especially with the technological shift to electrically powered vehicles engineers find themselves challenged with a novel soundscape and must reconsider development targets in acoustic comfort and sound design.

In our research we investigate on the perception of NVH characteristics of electrified vehicles, the perception and cognitive appraisal of active sound design as well as methodological questions as psychoacoustic metrics and how the individual evaluation process works. Thereby, we aim to contribute to a better understanding of the given topics and to help finding guidelines for comfortable, intuitive, and aesthetic acoustic design in electrified automotives.

  • Münder, M., & Carbon, C. C. (2022). Howl, whirr, and whistle: The perception of electric powertrain noise and its importance for perceived quality in electrified vehicles. Applied Acoustics, 185, 108412. doi: 10.1016/j.apacoust.2021.108412

Moon Diary - Watch the Moon!

Despite a relatively constant visual angle, the size of the moon appears very variable. So far, research relies on several competitive hypotheses to explain this variation of perceptual impressions. The present project uses different approaches to gain knowledge about the moon illusion, about the conditions and contexts that are needed to amplify the perceptual size of the moon.

One important step forward is to include data from many different observers in the real world using a community app that runs on Android-devices (smartphones as well as tablets): People who use this app are invited to contribute to our data basis in order to assist science. You can download the app at the playstore.

Further reading: Carbon, C. C. (2015). The moon as a tiny bright disc: Insights from observations in the planetarium. Perception, 44(7), 821-824. doi:10.1177/0301006615594699


First English translation of Fechner’s (1866) fundamental article about “The Aesthetic Association Principle” available now

In 1866, Gustav Theodor Fechner published an article about “The Aesthetic Association Principle” (Das Associationsprincip in der Aesthetik), that is still widely unknown among aestheticians since it was, up to now, unavailable in English. To fill this blank space in the reception of Fechner’s Aesthetics from Below (Aesthetik von Unten) and to spark discussion about the role of content-related associations in aesthetics, Stefan Ortlieb, Werner Kügel and Claus-Christian Carbon have provided the first English translation of this fundamental work by the founder of experimental aesthetics.

Read more»

ESF-project „Emotional Design for SMEs: Using emotional psychology for the effective communication of brands, products and services”

How can companies create an emotionally rich experience around their brands, products, and services that reflects their corporate values consistently? The ESF-funded project “Emotional Design for SMEs” wants to give practical answers to this question by developing a web-based training that brings the experience of nine-teen small and medium-sized enterprises (SMEs) together with recent findings from emotional psychology and perception research.

Read more»

Food research

We are interested in how the perception of food is determined by visual characteristics such as color and Gestalt, but also by external factors such as settings and narratives that are provided for information or entertainment. This stream of research further aims to develop methods to understand and enhance the sense and appreciation for high quality and sustainable foods.

Schifferstein, H. N. J., Wehrle, T., & Carbon, C. C. (2019). Consumer expectations for vegetables with typical and atypical colors: The case of carrots. Food Quality and Preference, 72, 98-108, doi: 10.1016/j.foodqual.2018.10.002 {IF=3.652}


Experience research

What do people experience while they are using an innovative product for the first time, for the second time, for the tenth time? What do people experience while they are standing on the seashore watching the waves and what do they experience while they are standing in a museum watching an artwork that shows the sea? What do people experience while listening to an unacquainted symphony in the concert hall and what do they experience if they have been introduced to some knowledge about this specific music beforehand? … – Understanding experience is one of the key challenges of psychology. In our research, we specifically address user, art,and music experience.

  • Carbon, C. C. (2019). Empirical approaches to studying art experience. Journal of Perceptual Imaging, 2(10501), 1-7. doi: 10.2352/J.Percept.Imaging.2019.2.1.010501
  • Muth, C., Raab, M., & Carbon, C. C. (2017). Expecting the unexpected: How gallery-visitors experience Semantic Instability in art. Art & Perception, 5(2), 1-22.
  • Muth, C., Raab, M. H., & Carbon, C. C. (2015). The stream of experience when watching artistic movies. Dynamic aesthetic effects revealed by the Continuous Evaluation Procedure (CEP). Frontiers in Psychology, 6, 365. {IF=2.843}
  • Muth, C., Ebert, S. A., Marković, S. & Carbon, C. C. (2019). ‘Aha’ptics: Enjoying an Aesthetic Aha during haptic exploration. Perception, 48(1), 3-25. {IF=1.371}
  • Weth, K., Raab, M., & Carbon, C. C. (2015). Investigating emotional responses to self-selected sad music via self-report and automated facial analysis. Musicae Scientiae, 19(4), 412-432. {IF=0.809}
  • Berni, A., Borgianni, Y., Basso, D., & Carbon, C. C. (in press). Fundamentals and issues of User Experience in the process of designing consumer products. Design Science, 10(4).
  • Carbon, C.-C. (2023). About the Need for a More Adequate Way to Get an Understanding of the Experiencing of Aesthetic Items. Behavioral Sciences, 13(11), 907.
  • Carbon, C. C. (2020). Ecological art experience: How we can gain experimental control while preserving ecologically valid settings and contexts. Frontiers in Psychology, 11(800), 1-14.
Read more»

Attractiveness research

What is the magic of an attractive face? Is attractiveness only skin deep? Why is our gaze captured by attractive faces? Why is attractiveness or a certain idea of attractiveness so important for some people that they even hazard the consequences of plastic surgery? And how can perceptual psychology help people escape the superficial beauty contest fueled by publicized so-called ideals? What is “attractiveness” after all? In our research, we address questions related to the construct of attractiveness on different levels and in a variety of domains. Our superordinate goal is to understand how attractiveness is processed and how we are affected by the resulting perceptions and cognitions. This is especially important in a world in which the focus on this topic is strong while critical reflection is often absent so that people lose their freedom to create themselves beside and beyond attractiveness, beauty, prettiness or sexiness. Further reading:

  • Carbon, C. C., Faerber, S. J., Augustin, M. D., Mitterer, B., & Hutzler, F. (2018). First gender, then attractiveness: Indications of gender-specific attractiveness processing via ERP onsets. Neuroscience Letters, 686, 186-192. {IF=2.159} doi: 10.1016/j.neulet.2018.09.009
  • Röder, F. & Carbon, C. C. (2015). Average faces: Skin texture more than facial symmetry predicts attractiveness perceptions of female faces. Perception, 44(S1), 25-26.
  • Carbon, C. C., Grüter, T., Grüter, M., Weber, J. E., & Lueschow, A. (2010). Dissociation of facial attractiveness and distinctiveness processing in congenital prosopagnosia. Visual Cognition, 18(5), 641-654. doi: 10.1080/13506280903462471
  • Carbon, C. C. (2017). Universal principles of depicting oneself across the centuries: From Renaissance self-portraits to selfie-photographs. Frontiers in Psychology: Human-Media Interaction, 8(245), 1-9. doi: 10.3389%2Ffpsyg.2017.00245
  • Schneider, T. M., & Carbon, C.-C. (2017). Taking the Perfect Selfie: Investigating the Impact of Perspective on the Perception of Higher Cognitive Variables. Frontiers in Psychology, 8(971). doi: 10.3389/fpsyg.2017.00971.
  • Schneider, T. M., Hecht, H., & Carbon, C. C. (2012). Judging body weight from faces: The height-weight illusion. Perception, 41(1), 121-124. doi:10.1068/p7140
  • Schneider, T. M., Hecht, H., Stevanov, J., & Carbon, C. C. (2013). Cross-ethnic assessment of body weight and height on the basis of faces. Personality and Individual Differences, 55, 356-360. doi: 10.1016/j.paid.2013.03.022
  • Goldie, K., Cumming, D., Voropai, D., Mosahebi, A., Fabi, S., & Carbon, C. C. (2021). Aesthetic delusions: An investigation into the role of rapid visual adaptation in aesthetic practice. Clinical, Cosmetic and Investigational Dermatology, 2021, 1079—1087. doi: 10.2147/CCID.S305976

ESF-Project “Fit for innovation: Developing creativity and innovativeness in SMEs”

Small and medium-sized enterprises (SMEs) – from start-ups to traditional family-run enterprises – need ideas to secure their future. Apart from the ability and the motivation to bring up new ideas (creativity) these have to be successfully implemented (innovativeness). In an ESF-funded project psychologists from the Department of General Psychology and Methodology at the University of Bamberg are currently developing a web-based training program to enhance these competencies in SMEs.

Heiligensetzer, S., Schmittlutz, T., & Carbon, C. C. (2018). Creativity and complexity: Creative solutions are more complex but need also more time. Art & Perception, 6(4), 187-187.

Read more»

Multimodal Marketing for SMEs: Five senses for the successful presentation of products and services

Wine tasting, buying new clothes, a test drive in a new car or trying out a music instrument—many purchase decisions are based on multisensory assessment. How do we create a multisensory experience of our products and services that reflects our company’s values/brand image consistently? In the ESF-funded project “Multimodal Marketing for SMEs” we sought for answers to this question. Together with thirteen small and medium-sized enterprises (SMEs) a web-based training program was developed to help SMEs create a consistent positive image of their products and services on the basis of recent findings from cross-modal perception, empirical aesthetics, cognitive ergonomics, and marketing psychology.

Read more»

Visual Marketing for SMEs: Using basic research on visual perception and marketing psychology for a successful presentation of products and services

How do we improve conciseness and recognition of our products, services or brands by the targeted use of images and visual design elements? How do we find our own Formensprache? In the ESF-funded project “Visual marketing for SMEs” we sought for answers to these questions. Together with five small and medium-sized enterprises (SMEs) a web-based training program was developed to help SMEs create a consistent positive image of their products and services on the basis of recent findings from visual perception, empirical aesthetics, cognitive ergonomics, and marketing psychology.

Read more»

E-mobility

Electric Vehicles (EVs) are propagated as an essential solution for reducing the carbon footprint of traffic activities. One essential barrier to the adoption of electromobility strategies in everyday life is the very limited driving range of typical EVs. A dense and reliable network of electric charging stations would enable safer and longer ranges. Modern fast charging technologies provide additional possibilities to tactically and quickly re-charge EVs, but high implementation costs make it necessary to establish a mixed infrastructure consisting of cheap-but-slow and expensive-but-fast charging stations. We utilized the so-called Safe-Range-Inventory (SRI), a multidimensional assessment tool for capturing multi-facets of subjective range safety assessments. Using scenarios with different infrastructure settings, we revealed that the addition of just one fast-charging option drastically lowers range anxiety even under relatively short emergency range conditions. Additional fast-charging options did not have strong positive effects on the assessments but would amass very high costs. The SRI can assist in the planning of electric charging infrastructures in order to find the right balance between range safety and installation and maintenance costs.


Haptics

Research in aesthetics typically focuses on static stimuli or stimulus properties from the visual domain thus ignoring many questions on haptic aesthetics, for instance. We have developed a functional model of haptic aesthetics based on empirical findings and theoretical considerations. This model assumes a continuous increase of elaborative processing through three subsequent processing stages beginning with low-level perceptual analyses that encompass an initial, unspecific exploration of the haptic material. After a subsequent, more elaborate, and specific perceptual assessment of global haptic aspects, the described process enters into deeper cognitive and emotional evaluations involving individual knowledge on the now specified haptic material. The model gives great opportunity to systematically analyze the qualia of aesthetic experiences. Further information:

  • Carbon, C. C., & Jakesch, M. (2013). A model for haptic aesthetic processing and its implications for design. Proceedings of the IEEE, 101(9), 1-11. {IF=6.821}
  • Muth, C., Ebert, S. A., Marković, S. & Carbon, C. C. (2019). ‘Aha’ptics: Enjoying an Aesthetic Aha during haptic exploration. Perception, 48(1), 3-25. {IF=1.371}
  • Jakesch, M., Zachhuber, M., Leder, H., Spingler, M. & Carbon, C. C. (2011). Scenario-based touching. On the influence of top-down processes on tactile and visual appreciation. Research in Engineering Design, 22(3), 143-152. {IF=1.038}
  • Jakesch, M., & Carbon, C. C. (2012). The Mere Exposure effect in the domain of haptics. PLoS One, 7(2), e31215. {IF=4.411}
  • Jakesch, M., Zachhuber, M., Leder, H., Spingler, M. & Carbon, C. C. (2011). Scenario-based touching. On the influence of top-down processes on tactile and visual appreciation. Research in Engineering Design, 22(3), 143-152. {IF=1.038}

Illusions

It may be fun to perceive illusions, but the understanding of how they work is even more stimulating and sustainable: They inform us about the limits but also about the capacity of our perceptual apparatus. Perceptual illusions enable the scientific analysis of cognitive sub-processes that underlie human perception thus opening a door to grasping its specific functioning and power. In this line, our research on perceptual illusions is set out to deepen the understanding of the magic and richness of human perception. Read full text.

  • Carbon, C. C. (2016). The folded paper size illusion: Evidence of inability to perceptually integrate more than one geometrical dimension. i-Perception, 7(4), 1-5. {IF=1.831}
  • Utz, S., & Carbon, C. C. (2016). Is the Thatcher Illusion modulated by face familiarity? Evidence from an eye tracking study. PLoS One, 11(10), e0163933. {IF=3.057}
  • Carbon, C. C. (2014). Understanding human perception by human-made illusions. Frontiers in Human Neuroscience, 8(566), 1-6. {IF=2.906}
  • Schneider, T. M., Hecht, H., & Carbon, C. C. (2012). Judging body-weight from faces: The height-weight illusion. Perception, 41, 121-124. {IF=1.293}
  • Carbon, C. C., Schweinberger, S. R., Kaufmann, J. M., & Leder, H. (2005). The Thatcher illusion seen by the brain: An event-related brain potentials study. Cognitive Brain Research, 24(3), 544-555. {IF=2.568}
  • Raab, M. H., & Carbon, C. C. (2017). The clear-cut water drop: A visual illusion to perceive top-down saccadic fill-in. Perception, 46(S).
  • Utz, S., & Carbon, C. C. (2015). Afterimages are biased by top-down information. Perception, 44(11), 1263-1274. {IF=1.114}
  • Carbon, C. C., Grueter, T., Weber, J. E., & Lueschow, A. (2007). Faces as objects of non-expertise: Processing of Thatcherised faces in congenital prosopagnosia. Perception, 36(11), 1635-1645. {IF=1.585}
  • Carbon, C. C., & Leder, H. (2005). When feature information comes first! Early processing of inverted faces. Perception, 34(9), 1117-1134. {IF=1.585}

Innovation

Appreciation of innovative goods requires the fulfilment of several pre-conditions, e.g., before we can admire an innovative design, we must have elaborated it cognitively. We have developed a variety of techniques to stimulate such elaboration and to be able to validly measure the acceptance of innovation. Moreover, our techniques enable the prediction of future acceptance, which is highly important for all companies and producers that aim to deliver most advanced yet acceptable products. Further reading:

  • Carbon, C. C. (2015). Predicting Preferences for Innovative Design: The “Repeated Evaluation Technique” (RET). GfK Marketing Intelligence Review, 7(2), 34-39. DirectLink GfK
  • Planinc, R., Kampel, M., Ortlieb, S., & Carbon, C. C. (2013). User-centered design and evaluation of an ambient event detector based on a balanced scorecard approach. Journal on Advances in Life Sciences, 5(3&4), 237-249. {IF=to be calculated} PDF
  • Carbon, C. C., Faerber, S. J., Gerger, G., Forster, M., & Leder, H. (2013). Innovation is appreciated when we feel safe: On the situational dependence of the appreciation of innovation. International Journal of Design, 7(2), 43-51. {IF=0.632} PDF

Museum research

Aesthetics research aiming at understanding art experience is an emerging field; however, most research is conducted in labs without access to real artworks, without the social context of a museum and without the presence of other persons. Going beyond the lab context, our research aims to explore art perception in museum contexts and to identify key features of this specific type of perception, mainly how art museum visitors inspect, elaborate and discuss artworks in the field. Further reading:

  • Carbon, C. C. (in press). Empirical approaches to capturing Art Experience. Journal of Perceptual Imaging.
  • Carbon, C. C. (2017). Art perception in the museum: How we spend time and space in art exhibitions. i-Perception, 8(1), 1.15. {IF=1.813} DirectLink i-Perception
  • Muth, C., Raab, M. H., & Carbon, C. C. (2017). Expecting the unexpected: How gallery-visitors experience Semantic Instability in art. Art & Perception, 5(2), 1-22. DOI: 10.1163/22134913-00002062, Art & Perception

Perceived Quality

Perceived quality is the psychological component of product quality. Whereas typical quality approaches focus on objective, physical measures, perceived quality captures the subjective part. As purchase decisions are, in the end, subjective decisions made by individual humans, this psychological view is essential for market success. We have developed a series of techniques and methods that address this issue in an adequate and holistic way. The multisensory perceived quality approach that we follow provides decisive answers to the essential questions: How can we systematically increase perceived quality for first glance as well as elaborated inspections of products?


Mona Lisa entering the 3rd dimension. Can the Mona Lisa be a stereoscopic painting?

In January 2012, the Museo del Prado in Madrid announced an astounding discovery: An almost fully restored copy of the Mona Lisa was rediscovered behind the black overpainting of another copy of the Mona Lisa painting, which hitherto was considered as a rather minor version. The similarity between da Vinci’s original and the Prado version is remarkable. Moreover, infrared analyses unveiled similar corrections in both artworks. It is therefore assumed that a pupil of Leonardo produced the Prado version very possibly alongside the master…

  • Carbon, C. C., & Hesslinger, V. M. (2015). Restoring depth to Leonardo’s Mona Lisa. Was La Gioconda the model for one of the world’s earliest attempts at threedimensional imaging? American Scientist, 103(6), 404-409. {IF=0.556}
  • Carbon, C. C. & Hesslinger, V. M. (2015). On the nature of the background behind Mona Lisa. Leonardo, 48(2), 182-184. {IF=n.a.}
  • Carbon, C. C. & Hesslinger, V. M. (2013). Da Vinci’s Mona Lisa entering the next dimension. Perception, 42(8), 887-893. {IF=1.311}
Read more»

The Height-Weight Illusion. Why do we often look fat on unprofessional/unstandardized photos?

People strongly overestimate body weight for faces photographed from a lower vantage point while underestimating it for faces photographed from a higher vantage point.

Read more»

‘Aesthetic Aha’: The pleasure of gaining insight

Positive affect can be gained not only by arriving at an insight but by anticipating it as well.

  • Muth, C., Ebert, S. A., Marković, S. & Carbon, C. C. (2019). ‘Aha’ptics: Enjoying an Aesthetic Aha during haptic exploration. Perception, 48(1), 3-25. {IF=1.371}
  • Muth, C., & Carbon, C. C. (2013). The Aesthetic Aha: On the pleasure of having insights into Gestalt. Acta Psychologica, 144(1), 25-30. doi: 10.1016/j.actpsy.2013.05.001
  • Muth, C., Raab, M., & Carbon, C. C. (2015). The stream of experience when watching artistic movies. Dynamic aesthetic effects revealed by the continuous evaluation procedure (CEP). Frontiers in Psychology, 6(365). doi: 10.3389/fpsyg.2015.00365
  • Muth, C., Raab, M. H., & Carbon, C. C. (2016). Semantic stability is more pleasurable in unstable episodic contexts. On the relevance of perceptual challenge in art appreciation. Frontiers in Human Neuroscience, 10(43). doi: 10.3389/fnhum.2016.00043
Read more»

Fluency: Ease of processing amplifies affective judgement

Processing fluency serves as a gratifying explanation for various phenomena, including dynamics in judgements of truth, familiarity, fame, typicality, confidence, and especially liking. Among these dimensions, increasing fluency was found to amplify the reactions or judgements. Meanwhile, it is assumed that processing fluency has a hedonic quality because it indicates the successful and error-free perception, recognition and interpretation of a target. We investigated the assumption of hedonic quality and found fluency rather to be sign of unambiguity.

  • Carbon, C. C., & Albrecht, S. (2016). The Fluency Amplification Model supports the GANE principle of arousal enhancement. Behavioral and Brain Sciences (BBS), 39, 22-23. {IF=20.415}
  • Belke, B., Leder, H., Strobach, T., & Carbon, C. C. (2010). Cognitive fluency: High-level processing dynamics in art appreciation. Psychology of Aesthetics, Creativity, and the Arts, 4(4), 214-222. {IF=1.230}
  • Albrecht, S., & Carbon, C. C. (2014). The Fluency Amplification Model: Fluent stimuli show more intense but not evidently more positive evaluations. Acta Psychologica, 148, 195-203.
Read more»